
We are the molecule makers
And we are the dreamers of dreams
Publications


BOOK CHAPTERS
Gomez-Torres, A.; Saucedo, C.; Fortier, S.* Arene Complexes of Group 4 Metals. Comprehensive Organometallic Chemistry IV. Meyer, K.; O'Hare, D.; Parkin, G., Eds; Elsevier, Ltd; 2022, 502-549.
doi: 10.1016/B978-0-12-820206-7.00012-3 link
Gomez-Torres, A.; Sengupta, D.; Fortier, S.* Amidinates, Formamidinates, and Guanidinates. Comprehensive Coordination Chemistry III. Constable, E. C.; Parkin, G.; Que, L., Eds; Elsevier, Ltd.; 2021, 366-405.
doi: 10.1016/B978-0-08-102688-5.00070-2 link
Murillo, J.; Fortier, S.* Actinides: Pentavalent Organometallics. Encyclopedia of Inorganic and Bioinorganic Chemistry. Evans, W. J. and Hanusa, T. P., Eds.; John Wiley & Sons, Ltd.; 2018 doi:10.1002/9781119951438.eibc2544 link
INTELLECTUAL PROPERTY
Synthesis and Isolation of Crystalline Alkali Metal Arene Radical Anions, Castillo, M.; Fortier, S.; U.S. Patent Number 9,981,991 – Issued 05/29/2018
PUBLICATIONS
53) MacGregor, F.; Tarula-Marin, J. L.; Metta-Magana, A.; Fortier, S.* A Metallocene Bis(phosphoranocarbene) of 4ranium and a Probe of Its Reactivity with Alcohols. Inorg. Chem., 2024, ASAP.
- Invited Manuscript: Inorganic Chemistry Special Issue
53) Mena, A.; Luna, J. R.; MacGregor, F.; Noriega-Landa, E.; Metta-Magana, A.; Lee, W.-Y.; Fortier, S.* Photoinduced Cleavage of a Strained N-C Bond in an Iron Complex Supported by Super Bulky Amidinate and Guanidinate Ligands. Inorg. Chem., 2024, 63, 5351-5364.
52) MacGregor, F.; Metta-Magana, A.; Fortier, S.* Synthesis and characterization of a series of U(IV) trans-bis(phosphaylide)UX4 (X = Cl, Br, I) adducts. Polyhedron, 2024, 250, 116821.
– Invited Manuscript: Emerging Investigators in Inorganic Chemistry Special Issue
51) Murillo, J.; Gomez-Torres, A.; Yao, Y.-R.; Oey, Y.; Wright, J.; Sesahdri, R.; Echegoyen, L.; Chen, N.; Fortier, S. Examining the Electronic Structures of Monouranium Endohedral Metallofullerenes: Solution versus Solid-Stat Effects in U@C82. Unpublished.
-ChemRxiv preprint: https://doi.org/10.26434/chemrxiv-2023-gxbps
50) Yao, Y.-R.; Zhao, J.; Meng, Q.; Hu, H.-S.; Guo, M.; Yan, Y.; Zhuang, J.; Yang, S.; Fortier, S.; Echegoyen, L.; Schwarz, W. H. E.; Li, J.; Chen, N. Synthesis and Characterization of U≡C Triple Bonds in Fullerene Compounds. J. Am. Chem. Soc., 2023, 145, 25440-25449.
-ChemRxiv preprint: https://doi.org/10.26434/chemrxiv-2023-1sdz7
49) Murillo, J.; Goodwin, C. A. P.; Stevens, L.; Fortier, S.;* Gaunt, A. J.;* Scott, B. L. Synthesis and comparison of iso-structural f-block metal complexes (Ce, U, Np, Pu) featuring eta6-arene interactions. Chem. Sci., 2023, 14, 7438-7446.
- Cover article
48) Gomez-Torres, A.; Metta-Magana, A. J.; Fortier, S.* Synthesis of an Arenide-Masked Scandium Complex Accompanied by Reductively Induced C-H Activation. Organometallics, 2022, 41, 2891-2896.
-ChemRxiv preprint: https://doi.org/10.26434/chemrxiv-2022-49nzm
47) Gomez-Torres, A.; Mavragani, N.; Metta-Magana, A. J.; Murugesu, M.; Fortier, S.* Molecular Capacitors: Accessible 6- and 8-electron Redox Chemistry from Dimeric “Ti(I)” and “Ti(0)” Synthons Supported by Imidazolin-2-Iminato Ligands. Inorg. Chem., 2022, 61, 16856-16876.
-ChemRxiv preprint: https://doi.org/10.26434/chemrxiv-2022-zn3mn
46) Murillo, J.; Bhowmick, R.; Harriman, K. L. M.; Gomez-Torres, A.; Wright, J.; Miro, P.; Metta-Magana, A. J.; Murugesu, M.; Vlaisavljevich, B.;* Fortier, S.* Actinide Arene-Metalate: 2. A Neutral Uranium Bis(Anthracenide) Complex and Elucidation of its Electronic Structure. Chem. Comm., 2022, 58, 9112-9115.
-ChemRxiv preprint: https://doi.org/10.26434/chemrxiv-2022-dnstl
45) Murillo, J.; Panda, D.; Chakrabarti, S.; Hattori, A.; Griego, L.; Chava, V. S. N.; Sreenivasan, S. T.; Ramana, C.V.; Fortier, S.* Room Temperature Syntesis of UO2+X Nanocrystal and Thin Films via Hydrolysis of Uranium(IV) Complexes. Inorg. Chem. Front., 2022, 9, 678-685.
44) Murillo, J.; Bhowmick, R.; Harriman, K. L. M.; Gomez-Torres, A.; Wright, J.; Meulenberg, R. W.; Miro, P.; Metta-Magana, A. J.; Murugesu, M.; Vlaisavljevich, B.;* Fortier, S.* Actinide Arene-Metalates: Ion Pairing Effects on the Electronic Structure of the First Unsupported Uranium-Arene Sandwich Complexes. Chem. Sci., 2021, 12, 13360-13372.
-ChemRxiv preprint: https://doi.org/10.26434/chemrxiv.14455983.v1
43) Fortier, S.;* Gomez-Torres, A. Review: Redox Chemistry of Discrete Low Valent Titanium Complexes and Low Valent Titanium Synthons. Chem. Comm., 2021, 57, 10292-10316.
-ChemCommun Feature Article
42) Staun, S. L.; Kent, G. T.; Gomez-Torres, A.; Wu, G.; Fortier, S.; Hayton, T. W.* Reductive Coupling of Xylyl Isocyanide Mediated by Low-Valent Uranium. Organometallics, 2021, 40, 2934-2938.
41) Harriman, K. L. M.; Murillo, J.; Suturina, E. A.; Fortiers, S.;* Murugesu, M.* Relaxation Dynamics in See-saw Shaped Dy(III) Single Molecule Magnets. Inorg. Chem. Front., 2020, 7, 4805-4812.
-ChemRxiv preprint: https://doi.org/10.26436/chemrxiv.11673927
40) Sengupta, D.; Sandoval-Pauker, C.; Schueller, E.; Encerrado-Manriquez, A. M.; Metta-Magana, A.; Lee, W.-Y.; Seshadri, R.; Pinter, B.;* Fortier, S.* Isolation of a Bimetallic Cobalt(III) Nitride and Examination of its Hydrogen Atom Abstraction Chemistry and Reactivity Towards H2. J. Am. Chem. Soc., 2020, 142, 8233-8242.
-ChemRxiv preprint: https://doi.org/10.26434/chemrxiv.11562144
39) Kent, G. T.; Murillo, J.; Wu, G.; Fortier, S.; Hayton, T.W.* Coordination of Uranyl to the Redox-Active Calix[4]pyrrole Ligand Inorg. Chem., 2020, 59, 8629-8634.
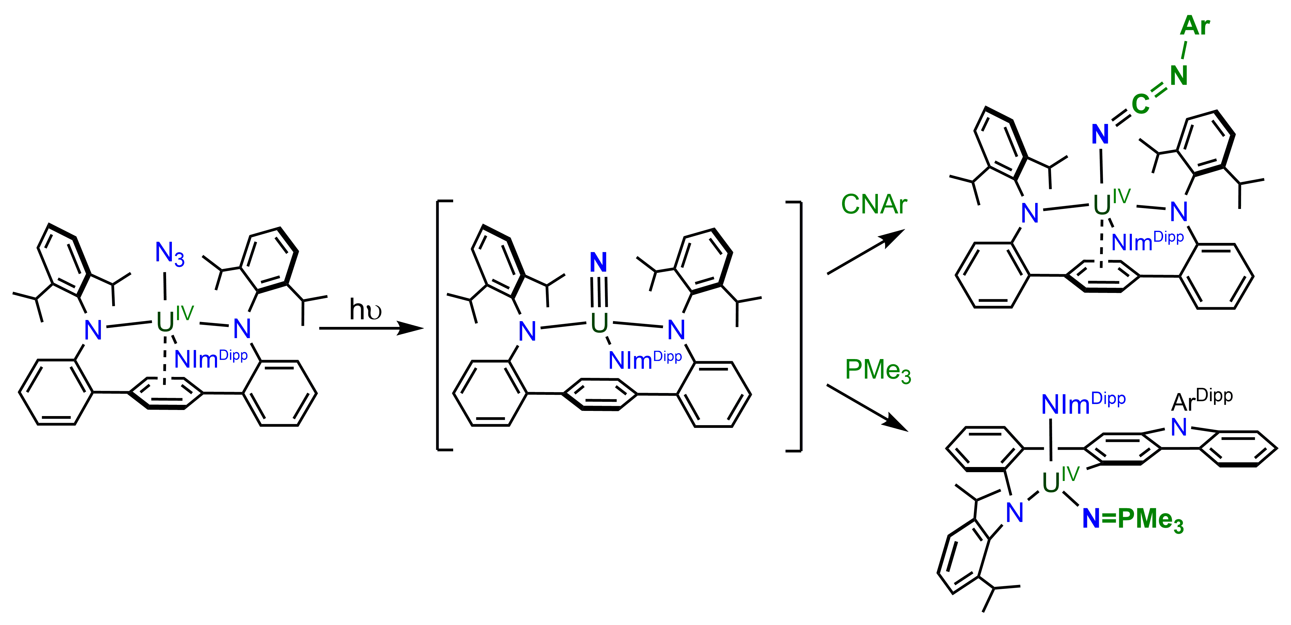
38) Yadav, M.; Metta-Magana, A.; Fortier, S.* Intra- and Intermolecular Interception of a Photochemically Generated Terminal Uranium Nitride. Chem. Sci., 2020, 11, 2381-2387.
-ChemRxiv preprint: https://doi.org/10.26434/chemrxiv.112472845
37) Gomez-Torres, A.; Aguilar, J. R.; Encerrado-Manriquez, A. M.; Pink, M.; Metta-Magana, A.; Lee, W.-Y.; Fortier, S.* Titanium-Mediated Catalytic Hydrogenation of Monocyclic and Polycyclic Arenes. Chem. Eur. J., 2020, 26, 2803-2807.
-ChemRxiv preprint: https://doi.org/10.26434/chemrxiv.10325204
36) Aguilar, J. R.; Murillo, J.; Gomez-Torres, A.; Saucedo, C.; Jordan, A.; Metta-Magana, A.; Pink, M.; Fortier, S.* Redox Character and Small Molecule Reactivity of a Masked Titanium(II) Synthon. Organometallics, 2020, 39, 295-311.
- ACS Editors Choice! and Cover Article
35) Gomez-Torres, A.; Aguilar, J. R.; Saucedo, C.; Jordan, A.; Metta-Magana, A.; Pinter, B.;* Fortier, S.* Reversible Oxidative-Addition and Reductive-Elimination of Thiophene from a Titanium Complex and Its Thermally-Induced Hydrodesulfurization Chemistry. Chem. Comm., 2020, 56, 1545-1548.
-ChemRxiv preprint: https://doi.org/10.26434/chemrxiv.10321946
34) Riedhammer, J.; Aguilar, J. R.; Miehlich, M.; Halter, D. P.; Munz, D.; Heinemann, F. W.; Fortier, S.; Meyer, K.;* Mindiola, D. J.* Werner-type Complexes of U(III) and (IV). Inorg. Chem., 2020, 4, 2443-2449.
33) Zhang, X.; Li, W.-L; Feng, L.; Chen, X.; Hansen, A.; Grimme, S.; Fortier, S.; Sergentu, D.-C.; Duignan, T.; Autschbach, J; Wang, S.; Velkos, G.; Aghdassi, N.; Duhm, S.; Li, X.; Li, J.; Echegoyen, L.; Schwarz W. H. E.; Chen, Ning. A Diuranium Carbide Cluster Stabilized Inside a C80 Fullerene Cage. Nat. Commun., 2018, 9, 2753
32) Maity, A. K.; Murillo, J.; Metta-Magana, A.; Pinter, Balazs;* Fortier, S.;* A Terminal Iron(IV) Nitride Supported by a Super Bulky Guanidinate Ligand and Examination of Its Electronic Structure and Reactivity. J. Am. Chem. Soc., 2017, 139, 1591-15700
31) Fortier, S.;* Aguilar, J. R.; Vlaisavljevich, B.;* Metta-Magana, A.; Goos, A. G.; Botez, C. E. An N-Tethered Uranium(III) Arene Complex and the Synthesis of an Unsupported U-Fe Bond. Organometallics, 2017, 36, 4591-4599
– Invited Manuscript: Organometallic Actinide and Lanthanide Chemistry Special Issue
30) Cai, W.; Morales-Martinez, R.; Zhang, X.; Najera, D.; Romero, E.; Metta-Magana, A.; Rodriguez-Fortea, A.; Fortier, S.; Chen, N.; Poblet, J. M.; Echegoyen, L. Single Crystal Structures and Theoretical Calculations of Uranium Endohedral Metallofullerenes (U@C2n, 2n = 74, 82) Show Cage Isomer Dependent Oxidation States for U. Chem. Sci., 2017, 8, 5282-5290.
29) Bolotaulo, D.; Metta-Magana, A; Fortier, S.* F-element metalated dipyrrins: Synthesis and characterization of a family of uranyl bis(dipyrrinate) complexes. Dalton Trans. 2017, 46, 3284-3294. (N.B)
28) Aguilar, J. R.; Metta-Magana, A.; Noll, Bruce; Fortier, S.* C(sp3)-H Oxidative-Addition and Transfer Hydrogenation Chemistry of a Ti(II) Synthon - Mimicry of Late-Metal Type Reactivity. Angew. Chem. Int. Ed. 2016, 55, 14101,
27) Castillo, M; Barreda, O.; Maity, A. K.; Barraza, B.; Lu, J.; Metta-Magana, A.; Fortier, S.* Advances in Guanidine Ligand Design: Synthesis of an Imidazolin-2-Iminato Functionalized Guanidinate and Its Properties on Iron. J. Coord. Chem. J. Coord. Chem. 2016, 69, 2003-20014.
– Invited Manuscript: Emerging Leaders in Coordination Chemistry Special Issue
26) Fortier, S.;* Veleta, J.; Pialat, A..; Le Roy, J.; Ghiassi, K.; Olmstead, M. M.; Metta-Magana, A.; Murugesu, M.; Villagran, D. U(bipy)4: A Mistaken Case of U(0)? Chem. Eur. J. 2016, 22, 1931-1936.
25) Castillo, M.; Metta-Magana, A; Fortier, S.* Isolation of Gravimetrically Quantifiable Alkali Metal Arenides Using 18-crown-6. New. J. Chem. 2016, 40, 1923-1926.
24) Maity, A. K.; Metta-Magana, A; Fortier, S.* Donor Properties of a New Class of Guanidinate Ligands Possessing Ketimine Backbones: A Comparative Study. Inorg. Chem. 2015, 54, 10030-10041.
23) Pinter, B.; Smith, K. T.; Kamitani, M.; Zolnhofer, E. M.; Tran, B. L.; Fortier, S.; Pink, M.; Wu, G.; Manor, B. C.; Meyer, K.; Baik, M.-H.; Mindiola, D. J. Cyclo-P3 Complexes of Vanadium: Redox Properties and Origin of the 31P NMR Chemical Shift. J. Am. Chem. Soc. 2015, 137, 5247-15261.
22) Wijeratne, G. B.; Zolnhofer, E. M.; Fortier, S.; Grant, L. N.; Carroll, P. J.; Chen, C.-H.; Meyer, K.; Kryzstek, J.; Ozarowski, A.; Jackson, T. A.; Mindiola, D. J.; Telser, J. Electronic Structure and Reactivity of a Well-Defined Mononuclear Complex of Ti(II). Inorg. Chem. 2015, 54, 10380-10397.
21) Maity, A. K.; Fortier, S.;* Griego, L.; Metta-Magana, A. Synthesis of a 'Super Bulky' Guanidinate Possessing an Expandable Coordination Pocket. ,Inorg. Chem. 2014, 53, 8155-8164.
20) Searles, K.; Fortier, S.;* Khusniyarov, M.; Chen, C.-H.; Pink, M.; Carroll, P.J.; Sutter, J.; Meyer, K.; Mindiola, D.J.; Caulton, K.G. A cis-Divacant Mononuclear Iron(IV) Imide. Angew. Chem. Int. Ed. 2014, 53, 14139-14143
19) Fortier, S.; Le Roy, J. J.; Chen, C.-H.; Veachslav, V.; Murugesu, M.; Chibotaru, L. F.; Mindiola, D.J.; Caulton, K.G. A Dincuclear Cobalt Complex Featuring Unprecedented Anodic and Cathodic Redox Switches for Single Molecule Magnet Activity. ,J. Am. Chem. Soc. 2013, 135, 14670-14678.
18) Lukens, W. W.; Edelstein, N. M.; Magnani, N.; Hayton, T. W.; Fortier, S.; Seaman, L. Quantifying the σ and π Interactions between U(V) f Orbitals and Halide, Alkyl, Alkoxide, Amide and Ketimide Ligands. J. Am. Chem. Soc. 2013, 135, 10742-10754.
17) Fortier, S.; Gonzalez del Moral, O.; Chen, C.-H.; Pink, M.; Le Roy, J.J.; Murugesu, M.; Mindiola, D.J.; Caulton, K.G. Probing the redox non-innocence of dinuclear, three-coordinate Co(II) nindigo complexes: not simply β–diketiminate variants. Chem. Commun. 2012, 48, 11082-11084.
16) Brown, J.; Fortier, S.; Wu, G.; Kaltsoyannis, N.; Hayton, T.W. Synthesis, Spectroscopic and Computational Characterization of the Chalcogenido-Substituted Analogues of the Uranyl Ion [OUE]2+ (E = S, Se). J. Am. Chem. Soc. 2013, 135, 5352-5355.
15) Seaman, L.; Hrobarik, P.; Schettini, M. F.; Fortier, S.; Kaupp, M.; Hayton, T. W. A Rare Uranyl(VI)-Alkyl Ate Complex [Li(DME)1.5]2[UO2(CH2SiMe3)4] and Its Comparison with a Homoleptic Uranium(VI) Hexaalkyl. Angew. Chem. Int. Ed. 2013, 52, 3259-3263.
14) Crestani, M.G.; Pinter, B.; Olasz, A.; Bailey, B.C.; Fortier, S.; Gao, X.; Chen, C.-H.; Baik, M.-H.; Mindiola, D.J. Understanding Competitive Pathways Involving the Dehydroalkoxylation and Dehydrogenation of Ethers by Ti-C Multiple Bonds. Chem. Sci. 2013, 4, 2543-2550.
13) Brown, J.; Fortier, S.; Lewis, R. A.; Wu, G.; Hayton, T.W. A Complete Family of Uranium Chalcogenides [U(E)(N{SiMe3}2)3]- (E = O, S, Se, Te). J. Am. Chem. Soc. 2012, 134, 15468-15475.
12) Fortier, S.; Kaltsoyannis, N.; Wu, G.; Hayton, T.W. Synthesis and Structure of UV(O)[N(SiMe3)2]3: A Case for Electronic versus Steric Control of Geometry in an Actinide Complex. Inorg. Chem. 2012, 51, 1625-1633.
11) Fortier, S., Kaltsoyannis, N.; Wu, G.; Hayton, T.W. Probing the Reactivity and Electronic Structure of a Uranium(V) Terminal Oxo Complex. J. Am. Chem. Soc. 2011, 133, 14224-14227.
10) Fortier, S.; Walensky, J. R.; Wu, G.; Hayton, T. W. High Valent Uranium Alkyls: Evidence for the Formation of UVI(CH2SiMe3)6. J. Am. Chem. Soc. 2011, 133, 11732-11743
9) Fortier, S.; Walensky, J. R.; Wu, G.; Hayton, T. W. Synthesis of a Phosphorano-Stabilized U(IV)-Carbene via One-Electron Oxidation of a U(III)-Ylide Adduct. J. Am. Chem. Soc. 2011, 133, 6894-6897.
8) Seaman, L. A.; Fortier, S.; Wu, G.; Hayton, T. W. Synthesis of Two Homoleptic Uranium(IV) Amides and a Comparison of Their Oxidation Chemistry. Inorg. Chem. 2010, 132, 636-646.
7) Fortier, S.; Wu, G.; Hayton, T. W. Synthesis of a Nitrido-Substituted Analogue of the Uranyl Ion, [N=U=O]+. J. Am. Chem. Soc. 2010, 132, 6888-6889.
6) Fortier, S.; Zhang, Y.; Sharma, H. K.; Pannell, K. H. Formation of Silicon-Carbon Bonds by Photochemical Irradiation of (η5-C5H5)Fe(CO)2SiR3 and (η5-C5H5)Fe(CO)2Me to Obtain R3SiMe. Organometallics 2010, 29, 1041-1044.
5) Fortier, S.; Melot, B.; Wu, G.; Hayton, T. W. Synthesis and Characterization of Several Homoleptic Uranium(IV) Alkyl Complexes. J. Am. Chem. Soc. 2009, 131, 15512-15521.
4) Fortier, S.; Hayton, T. W. Oxo Ligand Functionalization in the Uranyl Ion (UO22+). Coord. Chem. Rev. 2010, 254, 197-214.
3) Fortier, S.; Wu, G.; Hayton, T.W. U(IV) and U(V) azide complexes supported by amide or aryloxide ligands. Dalton. Trans. 2010, 39, 352-354.
-Article featured in: Highlights in Chemical Science, September 2009
2) Fortier, S.; Wu, G.; Hayton, T.W. Synthesis and Redox Chemistry of High-Valent Uranium Aryloxides. Inorg. Chem. 2009, 48, 3000-3011.
1) Fortier, S.; Wu, G.; Hayton, T.W. Synthesis and Characterization of Three Homoleptic Alkoxides of Uranium: [Li(THF)]2[UIV(OtBu)6], [Li(Et2O)][UV(OtBu)6], and UVI(OtBu)6. Inorg. Chem. 2008, 47, 4752-4761
#041E42

Fortier Laboratory
Makers of fine molecules since 2013











